• EN
  • FR
  • ZH
  • ES
  • PT
  • IT
IOT See the difference
  • EN
  • FR
  • ZH
  • ES
  • PT
  • IT
  • Discover our lenses
    • Endless AI (New)
    • Progressive solutions
      • Camber Steady Plus Progressive
      • Endless Steady Progressive
      • Essential Steady Progressive
      • Endless Drive Progressive
      • Endless Sport Progressive
      • Endless Pilot Progressive
    • Occupational solutions
      • Endless Office Occupational
    • Bifocal solutions
      • Endless Bifocal
    • Single vision solutions
      • Endless Single Vision
      • Endless Anti-fatigue Single Vision
      • Endless Drive Single Vision
    • MyoLess
    • Neochromes
      • Neochromes Experience
      • Neochromes
      • Neochromes with Camber Technology
      • Neochromes Dark
      • Instructions for Use
    • Lens comparisons
  • Technologies
    • Camber Technology
    • IOT Digital Ray Path 2 Technology
    • Steady Methodology
    • Steady Plus Methodology
  • Services
    • IOT Business Consulting
    • IOT Technical Services
    • IOT Marketing Services
    • IOT Client Hub
    • IOT Solutions
  • Blog
  • Resource Hub
  • About IOT
    • Our company
    • IOT Intelligence
      • Our innovation ecosystem
      • Our innovation methodology
      • IOT Freeform Designer
      • Intelligent technologies
    • The IOT Experience
    • Innovation as service
    • IOT Events
    • Projects and Collaborations
    • IOT Ethics and Transparency
  • Contact us
    • Contact sales
    • Careers
  • Visit light-form.com
  • Discover our lenses
    • Endless AI (New)
    • Progressive solutions
      • Camber Steady Plus Progressive
      • Endless Steady Progressive
      • Essential Steady Progressive
      • Endless Drive Progressive
      • Endless Sport Progressive
      • Endless Pilot Progressive
    • Occupational solutions
      • Endless Office Occupational
    • Bifocal solutions
      • Endless Bifocal
    • Single vision solutions
      • Endless Single Vision
      • Endless Anti-fatigue Single Vision
      • Endless Drive Single Vision
    • MyoLess
    • Neochromes
      • Neochromes Experience
      • Neochromes
      • Neochromes with Camber Technology
      • Neochromes Dark
      • Instructions for Use
    • Lens comparisons
  • Technologies
    • Camber Technology
    • IOT Digital Ray Path 2 Technology
    • Steady Methodology
    • Steady Plus Methodology
  • Services
    • IOT Business Consulting
    • IOT Technical Services
    • IOT Marketing Services
    • IOT Client Hub
    • IOT Solutions
  • Blog
  • Resource Hub
  • About IOT
    • Our company
    • IOT Intelligence
      • Our innovation ecosystem
      • Our innovation methodology
      • IOT Freeform Designer
      • Intelligent technologies
    • The IOT Experience
    • Innovation as service
    • IOT Events
    • Projects and Collaborations
    • IOT Ethics and Transparency
  • Contact us
    • Contact sales
    • Careers
  • Visit light-form.com

Back to Blog

The Role of Frame Size in Myopia Management: Insights from Recent Research

The Role of Frame Size in Myopia Management: Insights from Recent Research

Originally presented as a poster at the 2024 International Myopia Conference in Hainan, China.

Published 23.10.2024 | 5 min
Category Research
Author
Eva Chamorro
Eva Chamorro
Director of Clinical Research

  • Does frame size matter in Myopia control?
  • How the study was conducted
  • What did the study find?
  • What this means for parents and optometrists
  • The bigger picture: Myopia management today
  • Download the full poster
The Role of Frame Size in Myopia Management: Insights from Recent Research

The Role of Frame Size in Myopia Management: Insights from Recent Research

Originally presented as a poster at the 2024 International Myopia Conference in Hainan, China.

Myopia, commonly known as nearsightedness, is on the rise among children worldwide. This condition can lead to a higher risk of severe vision issues, such as retinal detachment or glaucoma, in adulthood. Fortunately, new innovations in lens technology, like those with Myopic Peripheral Defocus Lenses (MPDL), are showing promise in slowing down the progression of myopia.

MPDL lenses feature a central clear vision zone surrounded by a specialized treatment area designed to control the eye's growth. These lenses create a positive peripheral defocus that increases progressively from the center to the peripheral area of the lens, allowing for more precise control over myopia progression.

In a recent study we presented at the International Myopia Conference, my colleagues and I explored an interesting question: Does the size of a child’s glasses frame influence the effectiveness of MPDL lenses in controlling myopia​​?

Does frame size matter in Myopia control?

Why frame size could be important

When prescribing glasses for myopia management, optometrists usually focus on fitting the child with a comfortable frame that keeps the lenses positioned correctly. But could the frame’s dimensions—how wide or tall it is and how far the lenses are from the child’s eyes—affect the treatment’s success?

The primary goal of this study was to explore whether the size of a spectacle frame—its horizontal and vertical dimensions and the distances from the pupil to the frame edges—affects the myopia control effects in children wearing MPDL lenses. Understanding this relationship can help eye care professionals (ECPs) make more informed decisions when prescribing myopia management lenses for children, ensuring that they maximize the therapeutic benefits of these advanced lenses​.

Figure 1. Fitting characteristics of 2 participants of the study with extremely different face physiognomies, indicating distances from the pupil to the nasal, temporal, superior, and inferior sides of the edge of the frame. (a) Seven-year-old participant wearing a frame with horizontal size of 41 mm, vertical size of 37 mm, and bridge of 18 mm. (b) Eleven-yearold participant wearing a frame with horizontal size of 55 mm, vertical size of 47 mm, and bridge of 14mm

How the study was conducted

Understanding the experiment

The study involved 39 children aged 5 to 12, all diagnosed with myopia. The participants were part of a one-year randomized controlled trial (RCT) to assess the impact of MPDL lenses on axial length growth—a key measure of myopia progression. Over the course of a year, our researchers tracked the children’s eye growth, focusing specifically on the right eye. Eye growth is an important indicator because it helps measure the progression of myopia. The study examined six key frame measurements:

  • Horizontal frame size (HBOX): How wide the frame is.
  • Vertical frame size (VBOX): How tall the frame is.
  • Distances from the pupil to the frame’s edges:
    • Nasal (Size-N)
    • Temporal (Size-T)
    • Upper (Size-U)
    • Lower (Size-L)

Spearman's rank correlation coefficient was used to assess the relationships between these frame parameters and the changes in the children’s axial length, a crucial factor in understanding how quickly myopia is progressing. A p-value of less than 0.05 was considered statistically significant for identifying meaningful correlations​​.

What did the study find?

What did the study find?

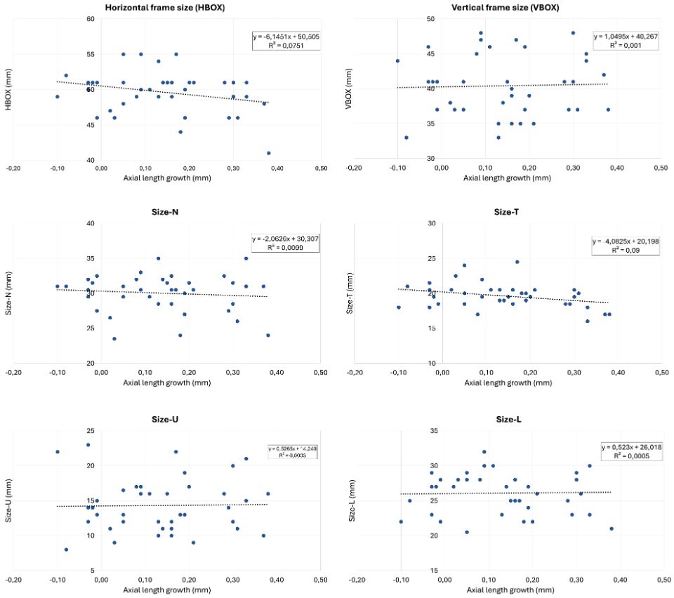
Figure 2. Frame characteristics variables correlated with axial length growth after 12 months of follow
up: horizontal frame size (HBOX), vertical frame size (VBOX) and distances from pupil position to the
frame edge at the nasal (Size-N), temporal (Size-T), upper (Size-U) and lower (Size-L) sides

Results at a glance

The results were clear: none of the frame parameters significantly correlated with changes in axial length over the 12-month period. Specifically, the statistical analysis showed no meaningful relationship between the frame's horizontal or vertical dimensions and the progression of myopia in the children wearing MPDL lenses. For example, the correlation between axial length growth and HBOX had a Spearman’s rank correlation coefficient of -0.222 (p = 0.171), indicating a weak and non-significant relationship​.

These findings suggest that the therapeutic effect of MPDL lenses remains consistent regardless of frame size. It underscores that the focus during prescription should be on ensuring a comfortable and well-fitted frame for children rather than prioritizing larger or specific frame dimensions for treatment efficacy​.
In short, the size of the frame doesn’t seem to affect how well MPDL lenses work to slow down the progression of myopia.

Figure 3. Dispersion graphs representing the distribution of values within the dataset: Relationship between axial length growth after 12 months of follow up and frame characteristics: horizontal frame size (HBOX),
vertical frame size (VBOX) and distances from pupil position to the frame edge at the nasal (Size-N), temporal (Size-T), upper (Size-U) and lower (Size-L) sides

What this means for parents and optometrists

Focus on fit and comfort, not frame size

So what does this mean for optometrists and parents selecting frames for children undergoing myopia management? It’s simple: you don’t need to worry about choosing a specific frame size to improve the effectiveness of myopia management lenses. Instead, the focus should be on finding a frame that fits comfortably and ensures the lenses stay correctly positioned on the child’s face, supporting both comfort and compliance.

Well-fitting frames help make sure the lenses are doing their job and encourage children to wear them regularly—both key factors in managing myopia effectively. Choosing a frame that is too large or uncomfortable may reduce compliance, which is a crucial part of successful treatment.

Learn more about Myopia and if glasses can correct it →

The bigger picture: Myopia management today

Looking beyond frame size

As myopia becomes a growing concern worldwide, understanding the factors that contribute to successful treatment is key to managing this condition effectively​​. While advanced lens designs like MPDL can significantly slow myopia progression, their effectiveness is not dependent on frame size. The priority should always be ensuring a good fit and comfortable wear for the child so they stick with the treatment long term.

Therefore, rather than focusing on the dimensions of the frame, it is essential to consider the comfort and long-term compliance of the child wearing the lenses. A frame that fits well and stays securely in place will help ensure consistent use, which is vital for effective myopia management.

Explore Myoless, the latest Myopia management lens from IOT →

This poster was originally presented at the 2024 International Myopia Conference in Hainan, China.

Download the full poster

Download the full poster and explore the methodology, data analysis, and insights that can enhance your understanding of myopia management.

Download now

Back to Blog

About the Authors

Eva Chamorro
Eva Chamorro
Director of Clinical Research

Eva Chamorro is the Director of Clinical Research at IOT, where she leads the development of innovative lens technologies. Recognized as one of Vision Monday's Most Influential Women in Optical in 2024, Eva has played a pivotal role in advancing free-form digital lenses with patented technologies. With a background in optometry and extensive experience from clinical trials to product development, she is committed to making myopia management solutions more accessible worldwide. Eva is a frequent contributor to scientific publications and a speaker at international conferences.

  • Linkedin
Read more

Related items

A New Algorithm for Identifying Saccadic Movements in Eye-Tracking Studies

A New Algorithm for Identifying Saccadic Movements in Eye-Tracking Studies

01.04.2025 | Pablo Concepcion-Grande

Mapping Vision: Measuring Real Lens Usage with Eye-Tracking

Mapping Vision: Measuring Real Lens Usage with Eye-Tracking

18.03.2025 | Clara Benedí García

How Manufacturing Errors in Progressive Lenses Impact Wearer Satisfaction

How Manufacturing Errors in Progressive Lenses Impact Wearer Satisfaction

13.01.2025 | Amelia Gonzalez

Gaze Patterns and Visual Acuity: Evaluating Progressive Lens Designs with Eye-Tracking

Gaze Patterns and Visual Acuity: Evaluating Progressive Lens Designs with Eye-Tracking

16.12.2024 | Amelia Gonzalez

How School Vision Screenings Help Detect Amblyopia and Refractive Errors Early

How School Vision Screenings Help Detect Amblyopia and Refractive Errors Early

02.12.2024 | Marta Álvarez

The Role of Frame Size in Myopia Management: Insights from Recent Research

The Role of Frame Size in Myopia Management: Insights from Recent Research

23.10.2024 | Eva Chamorro

ÜBER IOT
  • IOT in Zahlen
  • Der Anfang
  • Unsere DNA
  • Vier Säulen
  • Unsere Werte
KONTAKTIERE UNS
  • Kontaktieren Sie den Vertrieb
  • Begleiten Sie uns
IOT Intelligence
  • Unser Innovationsökosystem
  • Unsere Innovationsmethodik
  • IOT Freeform Designer
  • Intelligente Technologien
Dienstleistungen für Ihr Unternehmen
  • Full-Service Support
  • The IOT Experience
  • IOT Business Consulting
  • IOT Technical Services
  • IOT Marketing Services
  • IOT Client Hub
Was wir tun
  • Innovation als Dienstleistung
  • Unsere Technologien
  • Gläser für die Presbyopie
  • Einstärkengläser
  • Neochromes
  • Myopia management solutions
  • Custom lenses
  • Computer lenses
  • Gläservergleich
  • Lösungen
AUSGEWÄHLTE PRODUKTE
  • Neochromes with Camber
  • MyoLess
  • Camber Steady Plus Progressive
  • Endless Steady Progressive
  • Essential Steady Progressive
  • Endless Office Ocupational
  • Endless Drive Progressive
  • Endless Sport Progressive
  • Endless Single Vision
  • Endless Anti-fatigue Vision
BRILLENGLASMATERIALIEN
  • Trivex
  • CR-39
  • Polycarbonat
  • Hochbrechend
Our Brand Sites
  • light-form.com
  • neochromes.com
Cookie-Richtlinie Datenschutzrichtlinie Impressum Security Policy Whistleblowing-Kanal ® Copyright 2026
Follow us on Linkedin Follow us on Facebook Follow us on Youtube Follow us on Instagram
Cookies

Akzeptieren Sie unsere Cookies und Datenschutzrichtlinien?

Ihre Privatsphäre ist uns wichtig. Daher informieren wir Sie darüber, dass wir eigene Cookies und Cookies von Drittanbietern verwenden, um eine Analyse der Nutzung und Messung unserer Website durchzuführen, um Inhalte zu personalisieren, Funktionen für soziale Netzwerke bereitzustellen oder unseren Datenverkehr zu analysieren. Um weiterhin die Konfiguration unserer Cookies zu akzeptieren oder zu ändern.

Ablehnen Konfigurieren Akzeptieren
Cookies Policy
  • Your privacy
  • Strictly necessary cookies
  • Preference or customization cookies
  • Analysis or measurement cookies
  • Cookies Policy

Your privacy is important to us

Cookies are very small text files that are stored on your computer when you visit a website. We use cookies for a variety of purposes and to enhance your online experience on our website (for example, to remember your account login details).

You can change your preferences and decline certain types of cookies to be stored on your computer while browsing our website. You can also remove any cookies already stored on your computer, but keep in mind that deleting cookies may prevent you from using parts of our website.

Strictly necessary cookies

These cookies are essential to provide you with services available through our website and to enable you to use certain features of our website.

Without these cookies, we cannot provide you certain services on our website.

Preference or customization cookies

These cookies are used to provide you with a more personalized experience on our website and to remember choices you make when you use our website.

For example, we may use functionality cookies to remember your language preferences or remember your login details.

Analysis or measurement cookies

These cookies are used to collect information to analyze the traffic to our website and how visitors are using our website.

For example, these cookies may track things such as how long you spend on the website or the pages you visit which helps us to understand how we can improve our website site for you.

The information collected through these analysis or measurement cookies do not identify any individual visitor.

Cookies Policy

This cookie notice provides information about the types of cookies INDIZEN OPTICAL TECHNOLOGIES SL uses and why we use them. Your access to, and use of, the Site http://www.iotlenses.com. We inform you about our cookies Policy.

 

WEBSITE OWNER

Thank you for accessing the Site http://www.iotlenses.com which is owned and operated by:

Website Owner: INDIZEN OPTICAL TECHNOLOGIES SL - CIF B84465921- IOT
Postal Address: C/Suero de Quiñones 34-36. 28002, Madrid (Madrid), España
Contact: Phone: 91 833 3786 - Email: proteccion_datos@iot.es
Activity: Innovation in lenses

 

WHAT ARE COOKIES?

Cookies are small files that web pages, online stores, intranets, online platforms or similar, store in the browser of the user who visits them and are necessary to provide innumerable advantages to web browsing in the provision of interactive services.

The following information on the possible types of cookies helps to better understand the functions they make possible:

  • Session cookies: these are temporary cookies that remain in the cookie space of your computer until you close the browser, so that none is recorded on the user's disk. The information obtained through these cookies serves to enable operational management with each of the users who are simultaneously accessing the web.
  • Persistent cookies: these are cookies that remain stored in the cookie space of your computer once the browser is closed, and that you will consult this web page again the next time you access it to remember information that facilitates navigation (directly access the service without need to do the login process) or the provision of a commercial service (offer those products or services related to previous visits).

The cookies exchanged when browsing a web page can be:

  • First-party or own cookies: these are cookies generated by the website that is being visited.
  • Third-party cookies: these are cookies that are received when browsing that web page, but that have been generated by a third service that is hosted on it. An example may be the cookie used by an advertisement or advertising banner found on the web page we visit. Another may be the cookie used by a visitor counter hired by the website we visit.

Cookies can be used to:

  • Technical purposes: they are also called "strictly necessary". They allow the user to navigate through a web page, platform or application and use the different options or services that exist in it, such as, for example, controlling traffic and data communication, identifying the session, access parts of restricted access, remember the elements that make up an order, carry out the process of purchasing an order, make the request for registration or participation in an event, use security elements while browsing, store content for the dissemination of videos or sound or share content through social networks .
  • Personalization: they make it possible for each user to configure aspects such as the language in which they want to view the web page, display formats, etc.
  • Analysis or performance: they allow us to measure the number of visits and navigation criteria of different areas of the web, application or platform and allow us to elaborate navigation profiles of the users of said sites, applications and platforms, in order to introduce improvements based on the analysis of the use data collected by users of the service.
  • Advertising: they allow the implementation of efficiency parameters in the advertising offered on the web pages.
  • Behavioral advertising: they allow the implementation of efficiency parameters in the advertising offered on the web pages, based on information about the behavior of the users obtained through the continuous observation of their browsing  habits, which allows the development of a specific profile. {co to display advertising based on it.

 

WHICH COOKIES DO WE USE?

ANALYTICS COOKIES - Google Tag Manager

Description:
These allow us to recognize and count the number of users of our Sites and understand how such users navigate through our Sites.  

Use:

  • We use Google Analytics, and you can see below for how to control the use of cookies by Google Analytics.
  • This helps to improve how our Sites works, for example, by ensuring that users can find what they are looking for easily.

ANALYTICS COOKIES - Hubspot

Description: HubSpot cookies are used to track visitors and understand their behavior on our Sites. This helps us to better engage with our users and improve their experience.

Use: We use HubSpot to analyze user interactions with our Sites and to optimize our marketing efforts. HubSpot cookies allow us to:

  • Track visitor activity and behavior on our Sites.
  • Identify repeat visitors and their preferences.
  • Enhance the user experience by providing personalized content.
  • Measure the effectiveness of our marketing campaigns.

SOCIAL NETWORK

Description:
Social network cookies to register are used to link the web profile in the aforementioned social network. 

Use:

  • You can use this button to redirect to the profile of your account IOT on LinkedIn, YouTube, Instagram and Facebook.

 

THIRD PARTY COOKIE

Additionally, IOT has a presence in portals and third-party services for which, if you want to know the privacy conditions and use of cookies, you should consult the policies provided by them:

  • Facebook: https://facebook.com/help/cookies
  • Linkedin: http://www.linkedin.com/legal/privacy-policy
  • Instagram: https://www.facebook.com/policies/cookies/
  • Youtube: https://www.google.es/intl/es/policies/technologies/cookies/

 

ACCEPT COOKIE POLICY

IOT offers information about its Cookies Policy at the bottom of the website.

With this information you can carry out the following actions:

  • Accept cookies: this notice will not be displayed again when you enter the website again.
  • Reject cookies: this notice will not be displayed again when entering the website again.
  • Cookie settings: you can obtain more information about the cookies we use, read the Cookies Policy of IOT and modify the configuration to block cookies from IOT at any time. In the case of blocking cookies, the functionality of the Web may be reduced.

 

HOW TO DISABLE COOKIES?

Non-mandatory cookies may be disabled by adjusting the settings of the Website.

Said settings are located at the bottom of the Website. Furthermore, all browsers may be modified to disable the cookies configuration.

This is why most browsers offer the possibility to administer cookies: in order to allow for a more accurate control of privacy. Said settings may be located in the “options” or “preferences” section of the browser’s menu.

Find below links to disable cookies on each browser:

Internet Explorer (https://goo.gl/iU2wh2)

  • In the tools menu, select “Internet options”.
  • Click on the privacy tab.
  • You may configure privacy with a six-position cursor which enables you to control the cookies which will be installed: Block all cookies, High, Medium High, Medium (default level), Low and Accept all cookies.

Mozilla Firefox (http://goo.gl/QXWYmv)

  • Click the Tools menus at the top of the Firefox window.
  • Select Options.
  • Select the Privacy panel.
  • You may choose Use a customized configuration of your browsing history and other options related to your privacy.

Google Chrome (http://goo.gl/fQnkSB)

  • Click on the menu located on the toolbar.
  • Select Settings.
  • Click on Show advanced options.
  • In the “Privacy” selection, click on the Content Settings button.
  • You may configure the options in the Cookies selection.

Safari (https://support.apple.com/es-es/HT201265)

  • Select the “Preferences” option in the settings menu.
  • Open the privacy tab.
  • Select the desired option in the “block cookies” section. ()
  • Remember that you may not be able to use certain functions of the Website after disabling cookies.

If you do not wish to be tracked by cookies, Google has developed a complement which may be installed on your browser. Find it here: http://goo.gl/up4ND.

 

COOKIES ON MOBILE DEVICES?

The holder of the Website http://www.iotlenses.com also uses cookies and other storage means on mobile devices.

Cookies which are not mandatory to navigate this Website http://www.iotlenses.com may be disabled by entering “Set cookies on the button below to the right”.

These settings are located at the bottom of the Website http://www.iotlenses.com. Furthermore, as in the case of computer browsers, it is possible to disable or eliminate cookies by changing the options or settings in mobile device browsers.

If you wish to change the privacy options, follow the instructions of the developer of your mobile device browser. Find below a few examples of links you may use to modify privacy options on your mobile device.

  • IOS: (http://goo.gl/61xevS)
  • Windows Phone: (https://goo.gl/tKyb0y)
  • Chrome Mobile: (http://goo.gl/XJp7N)
  • Opera Mobile: (http://goo.gl/Nzr8s7)

 

ACCEPTANCE OF COOKIES

This Website http://www.iotlenses.com does not install cookies on the Users’ devices prior to acceptance thereof by the Users.

We hereby inform you that if you reject the installation of cookies or disable these in your browser settings, certain services may not be available to you and therefore you may not be able to gain access to certain services and/or make full use of this Website http://www.iotlenses.com.

 

 

We last changed this policy on: July 16, 2024