• EN
  • FR
  • ZH
  • DE
  • PT
  • IT
IOT See the difference
  • EN
  • FR
  • ZH
  • DE
  • PT
  • IT
  • Discover our lenses
    • Endless AI (New)
    • Progressive solutions
      • Camber Steady Plus Progressive
      • Endless Steady Progressive
      • Essential Steady Progressive
      • Endless Drive Progressive
      • Endless Sport Progressive
      • Endless Pilot Progressive
    • Occupational solutions
      • Endless Office Occupational
    • Bifocal solutions
      • Endless Bifocal
    • Single vision solutions
      • Endless Single Vision
      • Endless Anti-fatigue Single Vision
      • Endless Drive Single Vision
    • MyoLess
    • Neochromes
      • Neochromes Experience
      • Neochromes
      • Neochromes with Camber Technology
      • Neochromes Dark
      • Instructions for Use
    • Lens comparisons
  • Technologies
    • Camber Technology
    • IOT Digital Ray Path 2 Technology
    • Steady Methodology
    • Steady Plus Methodology
  • Services
    • IOT Business Consulting
    • IOT Technical Services
    • IOT Marketing Services
    • IOT Client Hub
    • IOT Solutions
  • Blog
  • Resource Hub
  • About IOT
    • Our company
    • IOT Intelligence
      • Our innovation ecosystem
      • Our innovation methodology
      • IOT Freeform Designer
      • Intelligent technologies
    • The IOT Experience
    • Innovation as service
    • IOT Events
    • Projects and Collaborations
    • IOT Ethics and Transparency
  • Contact us
    • Contact sales
    • Careers
  • Visit light-form.com
  • Discover our lenses
    • Endless AI (New)
    • Progressive solutions
      • Camber Steady Plus Progressive
      • Endless Steady Progressive
      • Essential Steady Progressive
      • Endless Drive Progressive
      • Endless Sport Progressive
      • Endless Pilot Progressive
    • Occupational solutions
      • Endless Office Occupational
    • Bifocal solutions
      • Endless Bifocal
    • Single vision solutions
      • Endless Single Vision
      • Endless Anti-fatigue Single Vision
      • Endless Drive Single Vision
    • MyoLess
    • Neochromes
      • Neochromes Experience
      • Neochromes
      • Neochromes with Camber Technology
      • Neochromes Dark
      • Instructions for Use
    • Lens comparisons
  • Technologies
    • Camber Technology
    • IOT Digital Ray Path 2 Technology
    • Steady Methodology
    • Steady Plus Methodology
  • Services
    • IOT Business Consulting
    • IOT Technical Services
    • IOT Marketing Services
    • IOT Client Hub
    • IOT Solutions
  • Blog
  • Resource Hub
  • About IOT
    • Our company
    • IOT Intelligence
      • Our innovation ecosystem
      • Our innovation methodology
      • IOT Freeform Designer
      • Intelligent technologies
    • The IOT Experience
    • Innovation as service
    • IOT Events
    • Projects and Collaborations
    • IOT Ethics and Transparency
  • Contact us
    • Contact sales
    • Careers
  • Visit light-form.com

Back to Blog

How School Vision Screenings Help Detect Amblyopia and Refractive Errors Early

How School Vision Screenings Help Detect Amblyopia and Refractive Errors Early

Published 2 dic 2024 | 7 min
Category Research
Author
Marta Álvarez
Marta Álvarez
Clinical Research Optometrist

  • Understanding Amblyopia and Its Risk Factors
  • Why School-Based Vision Screenings Matter
  • The Madrid School-Based Screening Study: Uncovering Vision Issues Among Young Students
  • Key Findings: Prevalence and Uncorrected Refractive Errors
  • Photorefraction: A New Era in Pediatric Vision Screening
  • Supporting Children’s Vision Health: Why Early Intervention Matters
  • Conclusion: Making Vision Screenings a Priority in School
  • Download the Full Poster
How School Vision Screenings Help Detect Amblyopia and Refractive Errors Early

How School Vision Screenings Help Detect Amblyopia and Refractive Errors Early

Amblyopia, commonly known as "lazy eye," is one of the most widespread vision issues in children, marked by reduced vision in one eye without a clear physical cause. The condition, if left untreated, can impact a child’s school performance, confidence, and overall quality of life. With estimates suggesting that amblyopia affects between 0.2% to 6.2%of children globally, early detection and treatment are essential.

A 2022 study we conducted in Madrid highlights the role of school-based vision screening programs for detecting amblyopia and other refractive errors early on, especially through the use of photorefraction technology. In this article, we will explore the study’s methodology, its findings on amblyopia prevalence, and the benefits of early school-based vision screenings, and what they mean for parents, educators, and eye care professionals.

Understanding Amblyopia and Its Risk Factors

Amblyopia occurs when one or both eyes don’t develop properly, often because of uncorrected vision issues like nearsightedness, farsightedness, or astigmatism. If left untreated, amblyopia can lead to permanent vision loss. Unlike other eye diseases, amblyopia does not stem from structural eye abnormalities. Instead, it is caused by conditions that impair or distort vision, such as anisometropia (significant difference in prescription strength between the two eyes), high astigmatism, myopia, or hyperopia. If these refractive errors are not corrected early, the brain begins to ignore input from the affected eye, which can lead to long-term impairment.

The American Association for Pediatric Ophthalmology and Strabismus (AAPOS) outlines several risk factors for amblyopia:

  • Uneven vision strength (Anisometropia greater than 1.5 diopters (D)): Differences in refractive power between the two eyes can prevent one eye from achieving clear vision.
  • Significant farsightedness (Hyperopia greater than 3.5 D): High degrees of farsightedness hinder the eye’s ability to focus, especially on nearby objects.
  • Severe nearsightedness (Myopia greater than -3.0 D): Significant nearsightedness leads to blurred vision at greater distances, causing strain and underuse of the affected eye.
  • High astigmatism (greater than 1.5 D at major axes): High astigmatism creates blurred vision due to an irregularly shaped cornea or lens.
  • Oblique astigmatism (greater than 1.0 D): Misalignment in astigmatic angles further reduces clarity, especially in peripheral vision.

Identifying these risk factors early and providing corrective measures can help prevent the onset of amblyopia. However, without routine screening, these refractive errors often go undetected, especially in young children who may not communicate visual difficulties effectively.

Why School-Based Vision Screenings Matter

School is a crucial place for detecting vision problems in kids. Many children may not know they have vision issues, and without routine screenings, problems like amblyopia often go unnoticed. To address this, researchers in Madrid collaborated with AMIRES (Association of Magna Myopia with Retinopathies) and contacted ten schools in the city, inviting students within this age range to participate in a school-based screening program to assess the vision of children ages 4 to 12 using a tool called the PlusOptix A12R photorefractor. This non-invasive device measures refractive errors from a comfortable distance, making it ideal for screening young children in a school setting.

The Madrid School-Based Screening Study: Uncovering Vision Issues Among Young Students

In the study, 1,347 children in Madrid, Spain, participated in school-based screenings. Researchers found the program highly effective in identifying kids with undetected vision issues. To enhance accuracy, two measurements were taken for each child, and any differences greater than 0.5 D between the readings warranted additional testing.

The screening program adhered to the AAPOS criteria to identify potential amblyopia risk factors in children. The ultimate aim was to assess the prevalence of amblyopia and refractive errors, and to determine how many children had undiagnosed vision issues that warranted further intervention.

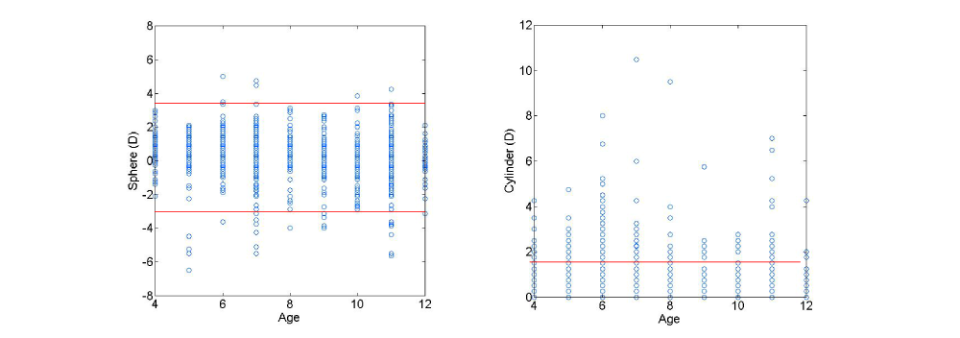
Fig. 1: Distribution of spherical (a) and cylindrical (b) power as a function of age. The red lines establish
the limits for the presence of amblyopia in children according to the AAOPS.

Key Findings: Prevalence and Uncorrected Refractive Errors

The study yielded several significant findings regarding amblyopia risk and refractive errors among the children:

  • Prevalence of Refractive Errors and Amblyopia Risk:
    • Approximately 20% of children under the age of 7 showed signs of potential amblyopia, predominantly due to uncorrected refractive errors.
    • In children older than 7, the prevalence of amblyopia risk factors remained between 10% and 20%, indicating a persistent need for screening as children grow older.
  • Distribution of Amblyopia Risk Factors:
    • Anisometropia greater than 1.5 D was present in 3.9% of the children, a significant factor in unilateral amblyopia risk.
    • High degrees of astigmatism (over 1.5 D) affected 10.3% of the sample, particularly in younger children, contributing to poor visual acuity.
    • Oblique astigmatism greater than 1.0 D was noted in 8.5% of children, a risk factor less commonly recognized but impactful in the development of amblyopia.
    • Hyperopia above 3.5 D was found in 0.4% of participants, and myopia below -3.0 D in 1.9%, both of which contributed to the overall risk profile.
  • Undiagnosed Cases and Age-Related Trends:
    • A concerning 68% of children identified as being at risk for amblyopia had no previous diagnosis or corrective measures. Among the youngest group (4 to 6 years), 77% of children with amblyopia risk factors were undiagnosed.
    • The percentage of undiagnosed amblyopia cases decreased slightly in older children, from 77% in ages 4-6, to 67% in ages 7-9, and to 56% in ages 10-12. This age-related decline in undetected cases suggests that screenings are happening but could benefit from being implemented earlier in a child’s development.

These findings underscore the importance of early screening programs in schools, especially for younger children who are more likely to have undiagnosed vision issues. Early intervention is crucial in preventing the progression of amblyopia, as the condition becomes increasingly difficult to treat as children grow older.

Fig. 2: Percentage of subjects with refractive errors (dark blue), potentially amblyopic (light
blue) and uncorrected subjects (gray).

Photorefraction: A New Era in Pediatric Vision Screening

One of the standout elements of this study is the use of photorefraction technology, which streamlines the process of detecting refractive errors in children. Unlike traditional acuity-based assessments, photorefraction provides an objective and accurate measure of a child’s refractive status. Devices like the PlusOptix A12R offer several advantages:

  • Infrared Light Usage: By utilizing infrared light, photorefraction avoids causing glare, allowing the pupil to remain naturally dilated without the need for pharmacological dilation.
  • Non-Contact Procedure: Unlike traditional autorefractometers that require the child to rest their head on a chin rest, photorefraction is a non-contact method. This feature is especially advantageous when working with small or uncooperative children.
  • Comfortable Working Distance: Measurements can be taken from approximately one meter away, reducing discomfort and making the process less intimidating for children.

In a school environment, these benefits are invaluable. The ability to screen for amblyopia and refractive errors rapidly and objectively makes photorefraction an ideal solution for integrating vision screenings into routine school health programs. The technology’s efficiency also ensures that even large student populations can be screened, significantly increasing the number of children who receive timely referrals for further eye care.

Supporting Children’s Vision Health: Why Early Intervention Matters

The findings of this study provide compelling evidence for the need to integrate vision screenings as a standard practice in school health programs. Amblyopia and refractive errors, if undetected and untreated, can lead to long-term visual impairments that affect academic performance and overall quality of life. By adopting technologies like photorefraction, schools can become frontline advocates for childhood eye health, identifying and addressing vision issues before they become more complex to treat.

For parents, educators, and health practitioners, the message is clear: early detection is crucial. Children’s eyes are constantly developing, and issues like amblyopia can be corrected most effectively if treated early. A simple, non-invasive screening in a school setting can make all the difference, enabling children to reach their full potential both academically and personally.

Conclusion: Making Vision Screenings a Priority in School

As more studies highlight the benefits of school-based vision screenings, there’s a strong case for making these programs a standard part of school health services. Uncorrected vision issues can hold children back in school and in life, but simple, non-invasive screenings can change that.

For anyone involved in children’s health or education, supporting school-based screenings is an important step toward improving kids’ vision and overall well-being. Let’s ensure that every child has the opportunity to see clearly and succeed fully.

Download the Full Poster

Dive deeper into the findings of our study, including the methodology, data analysis, and the critical insights that highlight the role of school-based vision screenings in detecting amblyopia and refractive errors. The full poster provides a detailed look at how innovative tools like photorefraction can revolutionize early detection and intervention in children.

Download the Poster

Back to Blog

About the Authors

Marta Álvarez
Marta Álvarez
Clinical Research Optometrist

Marta holds an impressive academic background, including an MSc in Optometry and Vision with a focus on researching new coenzymes to enhance tear secretion in experimental animal models, as well as an MSc in Image Optical Technologies specializing in image processing. In recent years, her work has been centered around the ophthalmic industry. She has clinical experience working as an optometrist doctor, collaborating with ophthalmologists and lens dispensers since 2013. Throughout her career, she has participated in over 80 clinical trials with more than 2400 children and adult users, primarily focused on myopia management. Her contributions to these studies have yielded noteworthy research outcomes, some of which have been presented at international conferences, showcasing her dedication to advancing the field.

  • Linkedin
Read more

Related items

A New Algorithm for Identifying Saccadic Movements in Eye-Tracking Studies

A New Algorithm for Identifying Saccadic Movements in Eye-Tracking Studies

1 abr 2025 | Pablo Concepcion-Grande

Mapping Vision: Measuring Real Lens Usage with Eye-Tracking

Mapping Vision: Measuring Real Lens Usage with Eye-Tracking

18 mar 2025 | Clara Benedí García

How Manufacturing Errors in Progressive Lenses Impact Wearer Satisfaction

How Manufacturing Errors in Progressive Lenses Impact Wearer Satisfaction

13 ene 2025 | Amelia Gonzalez

Gaze Patterns and Visual Acuity: Evaluating Progressive Lens Designs with Eye-Tracking

Gaze Patterns and Visual Acuity: Evaluating Progressive Lens Designs with Eye-Tracking

16 dic 2024 | Amelia Gonzalez

How School Vision Screenings Help Detect Amblyopia and Refractive Errors Early

How School Vision Screenings Help Detect Amblyopia and Refractive Errors Early

2 dic 2024 | Marta Álvarez

The Role of Frame Size in Myopia Management: Insights from Recent Research

The Role of Frame Size in Myopia Management: Insights from Recent Research

23 oct 2024 | Eva Chamorro

Sobre Nosotros
  • IOT en cifras
  • Los comienzos
  • Nuestro ADN
  • Nuestros cuatro pilares
  • Nuestros valores
CONTÁCTENOS
  • Contacta con ventas
  • Trabaja con nosotros
IOT Intelligence
  • Nuestro ecosistema de innovación
  • Nuestra metodología de innovación
  • IOT Freeform Designer
  • Tecnologías inteligentes
SERVICIOS PARA TU NEGOCIO
  • Full-Service Support
  • La experiencia IOT
  • IOT Business Consulting
  • IOT Technical Services
  • IOT Marketing Services
  • IOT Client Hub
LO QUE HACEMOS
  • Innovación como servicio
  • Nuestras tecnologías
  • Soluciones para la presbicia
  • Soluciones en monofocales
  • Neochromes
  • Myopia management solutions
  • Custom lenses
  • Computer lenses
  • Comparativa de lentes
  • Soluciones
PRODUCTOS DESTACADOS
  • Neochromes with Camber
  • MyoLess
  • Camber Steady Plus Progressive
  • Endless Steady Progressive
  • Essential Steady Progressive
  • Endless Office Ocupational
  • Endless Drive Progressive
  • Endless Sport Progressive
  • Endless Single Vision
  • Endless Anti-fatigue Vision
Materiales
  • Trivex
  • CR-39
  • Policarbonato
  • Alto Índice
Our Brand Sites
  • light-form.com
  • neochromes.com
Política de Cookies Política de privacidad Aviso Legal Política de Seguridad Canal de Denuncias ® Copyright 2026
Follow us on Linkedin Follow us on Facebook Follow us on Youtube Follow us on Instagram
Cookies

¿Aceptas nuestras cookies y política de privacidad?

Tu privacidad es importante para nosotros. Por ello te informamos que utilizamos cookies propias y de terceros para realizar análisis de uso y medición de nuestra página web con el fin de personalizar contenidos, así como proporcionar funcionalidades a las redes sociales o analizar nuestro tráfico. Para continuar acepta o modifica la configuración de nuestras cookies.

Rechazar Configurar cookies Aceptar
Política de Cookies
  • Tu privacidad
  • Cookies estrictamente necesarias
  • Cookies de preferencias o personalización
  • Cookies de análisis o medición
  • Política de Cookies

Tu privacidad es importante para nosotros

Las cookies son pequeños archivos de texto almacenados en tu ordenador cuando visitas nuestra web. Utilizamos cookies para mejorar tu experiencia en nuestro sitio web (por ejemplo, para recordar tu detalles de acceso).

Puedes cambiar tus preferencias y rechazar que algunos tipos de cookies sean almacenados en tu ordenador mientras estás navegando en nuestra web. Puedes cancelar cualquier cookie ya almacenada en tu ordenador, pero recuerda que cancelar los cookies puede impedirte utilizar algunas partes de nuestra web.

Cookies estrictamente necesarias

Estas cookies son esenciales para proveerte los servicios disponibles en nuestra web y para permitirte utilizar algunas características de nuestra web.

 

Cookies de preferencias o personalización

Estas cookies son utilizadas para ofrecerte una experiencia más personalizada y para recordar tus elecciones en nuestro sitio web.

Por ejemplo, podemos utilizar cookies de funcionalidad para recordar tu preferencias de idioma o tus detalles de acceso.

Cookies de análisis o medición

Estas cookies son utilizadas para recopilar información para analizar el tráfico en nuestra web y la forma en que los usuarios utilizan nuestra web.

Por ejemplo, estas cookies pueden recopilar datos como cuanto tiempo llevas navegado en nuestro sitio web o que páginas visitas, lo que nos ayuda a comprender cómo podemos mejorar nuestra web.

La información recopilada con estas cookies de análisis o medición no identifica a ningún visitante individual.

Política de Cookies

Para cumplir con la Ley 34/2002 de 11 de Julio, de Servicios de la Sociedad de la Información y el Comercio Electrónico (LSSICE), se informa de los siguientes aspectos legales:

 

PROPIEDAD DEL SITIO WEB

Responsable: INDIZEN OPTICAL TECHNOLOGIES SL - CIF B84465921- (En adelante IOT)
Domicilio social: C/Suero de Quiñones 34-36. 28002, Madrid (Madrid), España
Dirección: C/Suero de Quiñones 34-36. 28002, Madrid (Madrid), España
Contacto: Tel. 91 833 3786 - Email: proteccion_datos@iot.es
Datos de registro: Hoja M387390, folio 134, tomo 21750.
Actividad: Innovación en lentes

 

INFORMACIÓN Y TERMINOLOGÍAS ¿QUÉ SON LAS COOKIES?

Las cookies son archivos pequeños que las páginas web, tiendas online, intranets, plataformas online o similares, almacenan en el navegador del usuario que las visita y resultan necesarios para aportar a la navegación web innumerables ventajas en la prestación de servicios interactivos.

La siguiente información de los tipos posibles de cookies ayuda a comprender mejor las funciones que hacen posible:

  • Cookies de sesión: son cookies temporales que permanecen en el espacio de cookies de su equipo hasta que cierra el navegador, por lo que ninguna queda registrada en el disco del usuario. La información obtenida por medio de estas cookies sirve para hacer posible la gestión operativa con cada uno de los usuarios que está accediendo de forma simultánea a la web.
  • Cookies persistentes: son cookies que permanecen almacenadas en el espacio de cookies de su equipo una vez cerrado el navegador, y que volverá a consultar dicha página web la próxima vez que acceda a ella para recordar información que facilite la navegación (acceder directamente al servicio sin necesidad de hacer el proceso de login) o la prestación de un servicio comercial (ofrecer aquellos productos o servicios relacionados con anteriores visitas).

Las cookies intercambiadas al navegar por una página web pueden ser:

  • Cookies de origen o propias: son cookies generadas por la propia página web que se está visitando.
  • Cookies de terceros: son cookies que se reciben al navegar por esa página web, pero que han sido generadas por un tercer servicio que se encuentra hospedado en ella. Un ejemplo puede ser la cookie empleada por un anuncio o banner de publicidad que se encuentra en la página web que visitamos. Otro puede ser la cookie empleada por un contador de visitantes contratado por la página web que visitamos.

Las cookies pueden ser usadas para:

  • Fines técnicos: son las denominadas también “estrictamente necesarias”.  Permiten al  usuario  la  navegación a  través de una   página  web, plataforma o aplicación y la utilización de las diferentes opciones o servicios que en ella existan como, por  ejemplo, controlar el tráfico  y la comunicación de datos, identificar  la sesión, acceder a partes de acceso restringido, recordar los  elementos  que integran un pedido, realizar el proceso de compra de un pedido, realizar la solicitud de inscripción o participación en un evento, utilizar elementos de seguridad durante la navegación, almacenar contenidos para la difusión de videos o sonido o compartir contenidos a través de redes sociales.
  • Personalización: hacen posible que cada usuario pueda configurar aspectos como el lenguaje en el que desea ver la página web, formatos de visualización, etc.
  • Análisis o rendimiento: permiten medir el número de visitas y criterios de navegación de diferentes áreas de la web, aplicación o plataforma y nos permite elaborar perfiles de navegación de los usuarios de dichos sitios, aplicaciones y plataformas, con el fin de introducir mejoras en función del análisis de los datos de uso recabados que hacen los usuarios del servicio.
  • Publicidad: permiten implementar parámetros de eficiencia en la publicidad ofrecida en las páginas web.
  • Publicidad comportamental: permiten implementar parámetros de eficiencia en la publicidad ofrecida en las páginas web, basados en información sobre el comportamiento de los usuarios obtenido a través de la observación continuada de sus hábitos de navegación, lo que permite desarrollar un perfil específico para mostrar publicidad en función del mismo.

 

DETALLE DE COOKIES UTILIZADAS

El sitio Web de IOT utiliza cookies para el correcto funcionamiento y visualización de los sitios Web por parte del usuario, así como la recogida de datos estadísticos y analíticos sobre la navegación de los usuarios. IOT utiliza las siguientes cookies:
 

ANALÍTICAS Google Tag Manager

Descripción:
Estas Cookies recopilan información de tu experiencia de navegación en nuestros portales web de forma totalmente anónima. - Podemos contabilizar el número de visitantes de la página o los contenidos más vistos. 

Usos:

  • Podemos saber si el usuario que está accediendo es nuevo o repite visita.
  • Esa información puede ayudarnos a mejorar la navegación y darte un mejor servicio.


REDES SOCIALES

Descripción:
Las Cookies de redes sociales son utilizadas para unir la web con el perfil en la mencionada red social.

Usos:

  • Puedes hacer uso de este botón para redirigirte al perfil de IOT en LinkedIn, YouTube, Instagram y Facebook.

 

SERVICIOS DE TERCEROS

Adicionalmente, IOT tiene presencia en portales y servicios de terceros para los que, si desea conocer las condiciones de privacidad y uso de cookies, deberán consultarse las políticas proporcionadas por los mismos:

  • Facebook
  • Linkedin
  • Instagram
  • YouTube

 

ACEPTACIÓN POLÍTICA DE COOKIES

IOT muestra información sobre su Política de Cookies en la parte inferior de cualquier página del sitio Web con cada inicio de sesión con el objeto de que usted sea consciente.

Ante esta información es posible llevar a cabo las siguientes acciones:

  • Aceptar cookies: No se volverá a visualizar este aviso al acceder a cualquier página del portal durante la presente sesión
  • Rechazar cookies: No se volverá a visualizar este aviso al acceder a cualquier página del portal durante la presente sesión
  • Configuración de las cookies: Podrá obtener más información sobre cómo son las cookies, conocer la Política de Cookies de IOT y modificar la configuración para restringir o bloquear las cookies de IOT en cualquier momento. En el caso de restringir o bloquear las cookies puede ver reducidas las funcionalidades de la Web.

 

CÓMO MODIFICAR LA CONFIGURACIÓN DE LAS COOKIES

Usted puede restringir, bloquear o borrar las cookies de IOT o cualquier otra página web, utilizando su navegador. En cada navegador la operativa es diferente, la función de "Ayuda" le mostrará cómo hacerlo:

  • Internet Explorer
  • FireFox
  • Chrome
  • Safari
  • Opera

 

ACTUALIZACIÓN DE LA POLÍTICA DE COOKIES

Es posible que actualicemos la Política de Cookies de IOT, por ello le recomendamos revisar esta política cada vez que acceda a http://www.iotlenses.com con el objetivo de estar adecuadamente informado sobre cómo y para qué usamos las cookies.

 

 

Última actualización: 22 de diciembre de 2021